Methacrylic Acid and Ethyl Acrylate Copolymer Dispersion (L30D-55)
(CDE REGISTRATION NO.: F20230000570)
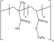
Name: Methacrylic Acid-Ethyl Acrylate Copolymer Dispersion (L30D-55)
Other Names:
Methacrylic Acid and Ethyl Acrylate Copolymer Dispersion (USP)
Methacrylic Acid – Ethyl Acrylate Copolymer (1:1) Dispersion 30 Per Cent (EP)

M.F.: [(C4H6O2)x(C5H8O2)y]n
M.W.: About 250000 (Average value)
CAS No.: 25212-88-8
Packaging:
0.5kg/bottle, 1kg/bottle, 5kg/bottle, 20kg/bottle;
Appearance: White or almost white, opaque, slightly viscous liquid.
Quality Standard: CP2025/USP2025/EP11.0
Model: L30D-55
Features:
Methacrylic Acid-Ethyl Acrylate Copolymer Dispersion is an aqueous dispersion of methacrylic acid and ethyl acrylate copolymer. Calculated by the dry weight of the dispersion, it should contain 46.0%~50.6% methacrylic acid units. It swells at pH 5.5 or below and is easily soluble at pH 5.5 or above. It is insoluble in gastric juice and is rapidly released in the duodenum and below.
Applications:
| Dosage Form | Application |
| Enteric-coated tablets | Film-forming/enteric material |
| Solid preparations | Moisture-proof/taste-masking coating |
| Sustained-release preparations | pH-dependent sustained-release excipient |
Advantages:
- It is insoluble in gastric juice, and forms a salt when exposed to alkali, and is soluble in weakly alkaline solutions, so it can be dissolved in intestinal fluid environments with a pH of 5.5 or above, and is used for enteric coatings;
- Insoluble in water, low permeability, low water vapor permeability.
Storage:
CP: Preserve in tight containers at a temperature of 5 ℃ to 25 ℃.
USP: Preserve in tight containers. Store at controlled room temperature. Protect from freezing.
EP: At a temperature of 5 ℃ to 25 ℃, protected from freezing.
